菜单

产品
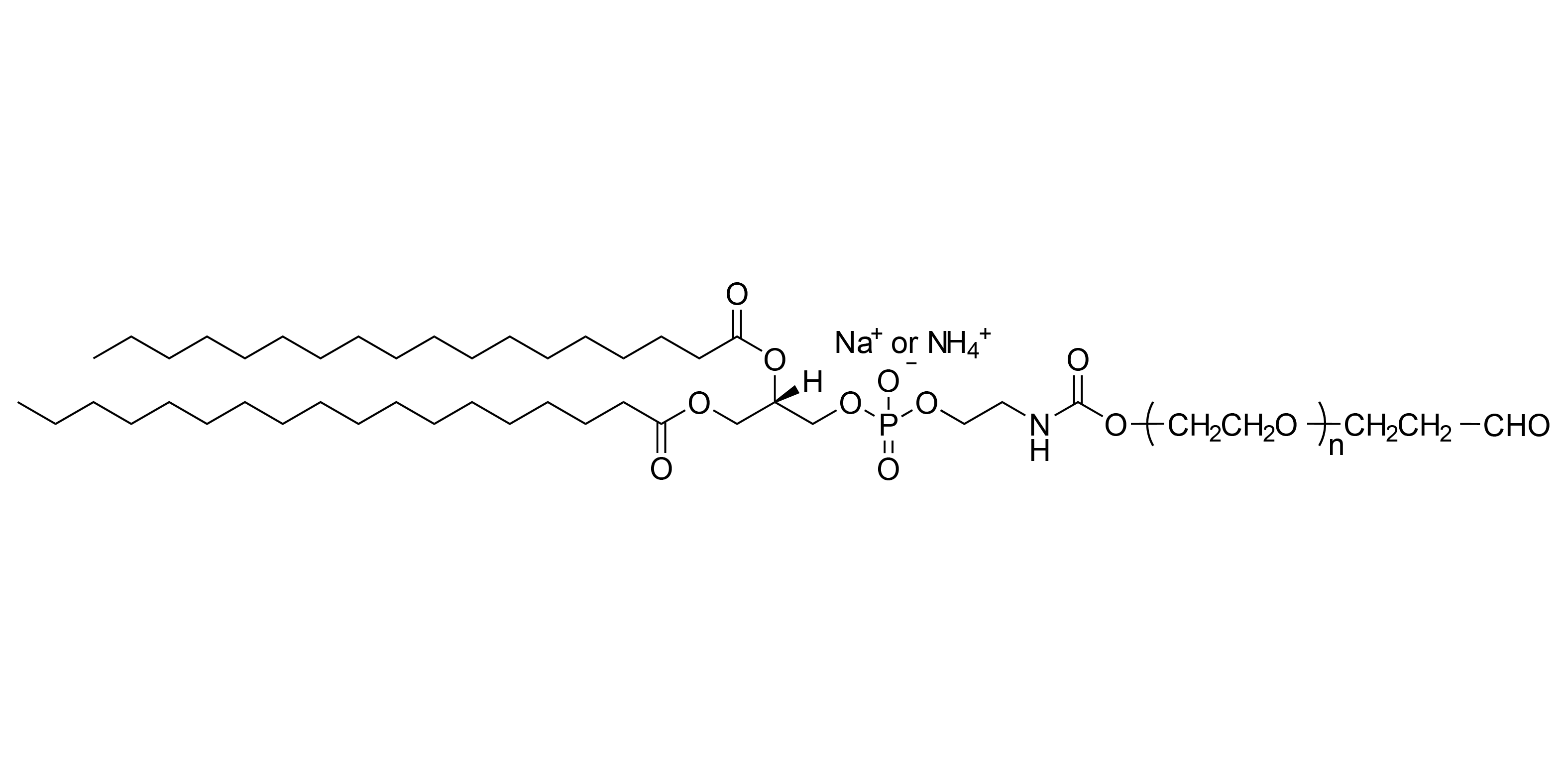
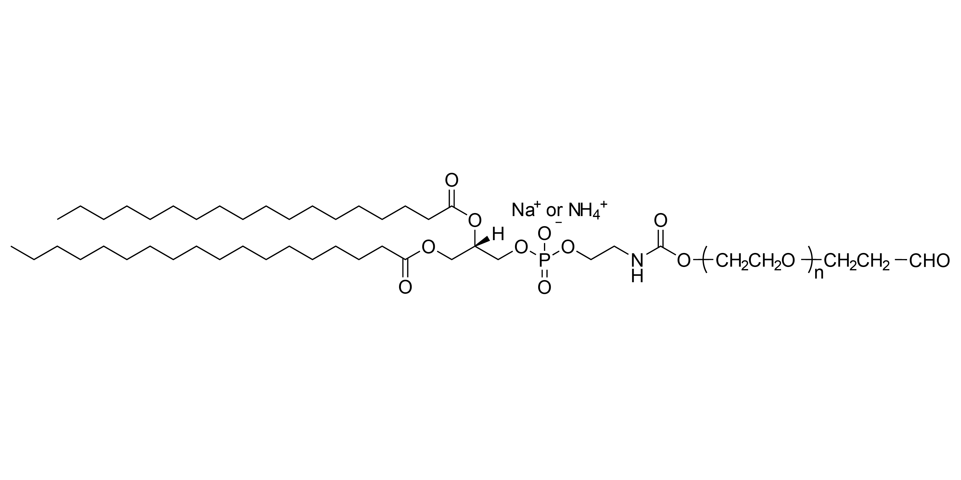
α-丙醛-ω-1,2-二硬脂酸-3-磷脂酰乙醇胺聚乙二醇
α-丙醛-ω-1,2-二硬脂酸-3-磷脂酰乙醇胺聚乙二醇
α-丙醛-ω-1,2-二硬脂酸-3-磷脂酰乙醇胺聚乙二醇

产品简称:DSPE-PEG-CHO CAS no.:
分子量:2,000;3,500;5,000 包装尺寸:1g, 5g, 10g, 100g, 1kg, 10kg 储存:-20±5℃
产品描述 推荐产品


CAS no. 分子量(Mp 产品编码
2,000 06030500502
3,500 06030500504
5,000 06030500506

α-丙醛-ω-1,2-二硬脂酸-3-磷脂酰乙醇胺聚乙二醇

受专利法保护的产品仅供研究和开发用途

关键词: α-Aldehyde-ω-distearoyl-sn-glycero-3-phosphoethanolamino poly(ethylene glycol)
*
*

厦门赛诺邦格致力于药物释放系统工作,为全球的制药和医疗器械公司提供产品、技术与服务。我们的工厂通过了ISO9001和ISO13485认证,并按照ICH-Q7A(FDA原料药GMP指南)组织生产产品。

我们的网站产品目录可能没有完全列出相关产品的所有分子量与官能团,更多的聚乙二醇衍生物产品请致电:0592-7761068

我们同时向所有客户提供定制合成的服务,也可邮箱联系:sales@sinopeg.com



国内销售热线:400-918-9898 国际销售热线:+1-844-QUAL-PEG
产品需求:sales@sinopeg.com 招贤纳士:sihanyu@sinopeg.com
TOP
TOP
在线留言
留言
如果您有任何疑问或建议,请给我们留言
*
*
*