在生物医药领域,CAR-T疗法正经历着从体外制备到体内编程的革命性跨越。2025年成为体内CAR-T(in vivo CAR-T)发展的关键转折点——6月,Capstan公司宣布其基于tLNP载体的体内CAR-T疗法CPTX2309正式进入Ⅰ期临床试验;随后,艾伯维以21亿美元全现金收购Capstan,获得了其专有tLNP平台技术。这笔交易印证了大型药企对体内CAR-T赛道的高度认可,也标志着该技术正式从概念验证迈向临床开发新阶段。
in vivo CAR-T与tLNP:精准医疗的下一个风口
行业背景:从体外到体内的革命性跨越
传统体外CAR-T疗法已在B细胞白血病和淋巴瘤创下了辉煌的里程碑,但其复杂的制造过程、高昂的费用及毒性等局限成为了这项技术大面积普及的瓶颈所在。据行业调研,一剂商业化CAR-T产品的价格高达37万至47万美元,且从细胞采集到回输需要耗时3-5周,部分患者因病情快速进展而无法等待。
体内CAR-T疗法以颠覆性的技术思路,通过特殊载体将CAR基因直接送入体内,跳过繁琐的体外步骤,直接在患者体内完成对T细胞的“装备升级”。这种“体内工厂”模式不仅大幅简化治疗流程,更有望将成本降低至传统CAR-T的十分之一,成为下一代细胞免疫治疗的破局点。
tLNP:实现体内CAR-T的核心递送系统
在体内CAR-T疗法的实现路径中,靶向脂质纳米颗粒(tLNP)已成为行业主流技术路线。tLNP通过在传统LNP表面修饰特异性靶向配体(如抗体、多肽),赋予其精准识别并递送基因货物至T细胞的能力。
其核心技术在于:将靶向抗体精确偶联到LNP表面,形成“导航导弹”式递送系统。当tLNP进入体内后,表面的靶向配体引导整个纳米颗粒与T细胞特异性结合,通过内吞作用将CAR-mRNA递送至细胞内,实现T细胞的原位重编程。
DSPE-PEG-MAL:构建tLNP的关键“化学桥梁”
驱动靶向递送:tLNP功能化的三重赋能
在构建tLNP的复杂体系中,DSPE-PEG-MAL扮演着动态的“执行者”角色,其结构设计精准对应了其在制备流程中的关键功能,其作用可分解为以下三个递进且连贯的步骤。
· 嵌入与锚定:从溶液到膜相的精准定位
在LNP的自组装过程中,DSPE-PEG-MAL凭借其DSPE疏水尾的物理化学性质,能够自发地将其“锚定”在形成中的脂质双层膜上。这一过程确保了整个分子以预设的取向和稳定的方式成为LNP结构的一部分,为后续功能奠定了基础。
· 伸展与保护:在界面上建立空间防线
一旦锚定,亲水的PEG2000链便充分伸展至LNP周围的水相环境中,形成一个柔性的、水化的“刷状”保护层。此保护层是LNP的“第一道防线”,通过抑制蛋白质非特异性吸附和减少颗粒间聚集,延长体内循环半衰期,在复杂的体内环境中维护LNP的理化稳定性与功能性完整性。
· 点击与赋能:从通用载体到精准导弹的化学蜕变
位于PEG链末端的马来酰亚胺(-MAL)基团,是赋予LNP“智慧”的化学开关。它作为一个高选择性的生物偶联位点,能够与经过工程化修饰(例如,通过还原二硫键或利用SATA等试剂引入)的抗体巯基发生高效反应。正是通过这一步不可逆的共价连接,普通的LNP才被“赋能”,进化为能够精准识别特定细胞表面抗原的靶向tLNP。
|
|
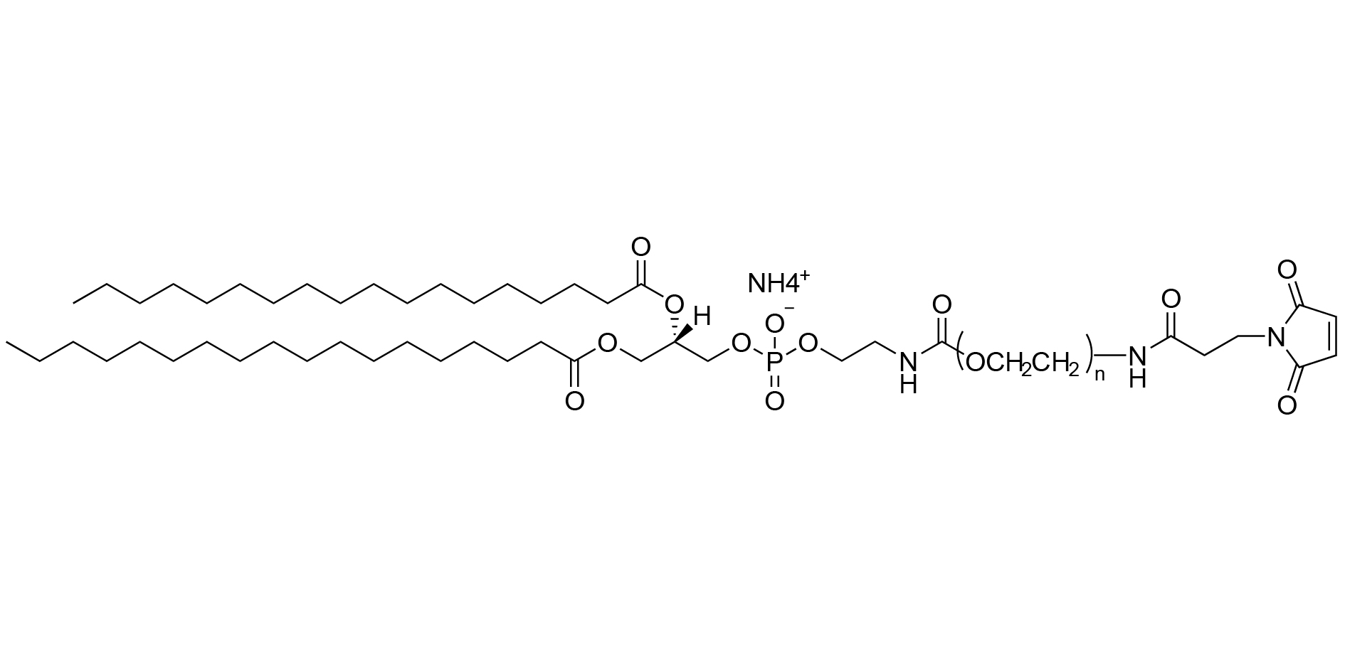
图1:DSPE-PEG-MAL(铵盐)的分子结构示意图
在LNP表面实现抗体偶联的技术路径
利用DSPE-PEG-MAL在LNP表面实现抗体偶联,是目前构建tLNP最成熟、应用最广泛的策略。这一过程通常涉及三个核心环节:
1. LNP制备:将DSPE-PEG-MAL与其他脂质组分(可电离脂质、辅助脂质、胆固醇、PEG脂)通过微流控混合技术制备成LNP,此时DSPE-PEG-MAL的马来酰亚胺(-MAL)基团暴露在LNP表面。
2. 抗体预处理:遵循行业内构建靶向LNP的常用方法(例如Capstan Therapeutics在专利WO2024249954中所述),将抗体进行巯基(-SH)化修饰,为后续偶联反应做准备。
3. 偶联反应:将巯基(-SH)化抗体与LNP在适宜缓冲液(如PBS,pH 7.4)中低温(如4°C)孵育(通常为数小时至过夜),抗体上的巯基与LNP表面的马来酰亚胺(-MAL)基团共价结合,完成靶向功能化修饰。
与慢病毒、腺相关病毒等病毒载体相比,基于DSPE-PEG-MAL的LNP递送系统具有低免疫原性、无插入突变风险、易规模化生产等优势,成为体内CAR-T理想载体。
赛诺邦格GMP级DSPE-PEG-MAL核心优势
GMP级生产与现货供应
在当前in vivo CAR-T研发浪潮中,高质量、可稳定供应的关键辅料是确保研发顺利推进的基石。厦门赛诺邦格已建立完整的GMP质量管理体系,成功实现DSPE-PEG-MAL的GMP级别规模化生产,并建立充足现货库存。
即将完成CDE与DMF双备案
为更好地助力客户药品注册申报,我们的DSPE-PEG-MAL产品正在积极推进:
· 中国CDE辅料登记备案:完成后可直接关联用于药品注册申请
· 美国FDA DMF备案:提供向FDA证明辅料质量和合规性的权威依据,
赛诺邦格从原料源头、合成工艺到纯化控制,建立了一套完整的质控体系。我们深知,对于in vivo CAR-T这类前沿疗法而言,辅料的任何微小差异都可能对最终制剂的理化性质、体内行为乃至治疗效果产生巨大影响。我们不仅对纯度、马来酰亚胺(-MAL)基团的活性以及PEG链的完整性进行严格控制,更是基于多年来对PEG及活性衍生物工业化生产的深刻理解以及多个IND项目的申报经验,开发了一系列特异性表征检测项,这些深入的理化性质表征所构成的差异化优势,能为您的项目申报提供更全面的数据支持。双备案完成后,客户可直接引用我们的备案号,大幅简化IND(新药临床试验申请)或NDA(新药上市申请)申报流程,节省时间和人力成本,显著提升项目申报成功率。
DSPE-PEG系列产品扩展
除了DSPE-PEG-MAL,我司还可提供多种功能化磷脂-PEG衍生物的定制开发服务,满足不同研发需求:

Reference:
1. Capstan Therapeutics. Capstan Therapeutics Announces Initiation of Phase 1 Trial of Lead In Vivo CAR-T Therapy, CPTX2309, for Treating Autoimmune Disease. Business Wire. 2025 June 11.
2. AbbVie. AbbVie to Acquire Capstan Therapeutics, Further Strengthening Commitment to Transforming Patient Care in Immunology. AbbVie News Center. 2025 June 30.
3. American Society of Clinical Oncology. CAR-T Cell Therapy: Costs and Considerations. ASCO Annual Meeting Proceedings. 2024.
4. Smith J, et al. In vivo CAR-T cells demonstrate potent anti-tumor activity with reduced manufacturing complexity. Nature Biotechnology. 2023;41(5):678-685.
5. Wang D, et al. Targeted lipid nanoparticles for in vivo T cell engineering. Science Advances. 2024;10(12):eadl2165.
6. Chen X, et al. Antibody-conjugated LNP for precise in vivo gene delivery to T cells. Cell Reports Medicine. 2024;5(3):101489.
7. Zhang Y, et al. Molecular structure and membrane anchoring properties of DSPE-PEG lipids. Biochimica et Biophysica Acta. 2023;1865(4):184321.
8. Gabizon A, et al. Prolonged circulation time and enhanced accumulation in malignant exudates of doxorubicin encapsulated in polyethylene-glycol coated liposomes. Cancer Research. 1994;54:987-992.
9. Hermanson GT. Bioconjugate Techniques. 3rd ed. Academic Press; 2021.
10. Wei X, et al. Microfluidic synthesis of targeted lipid nanoparticles for T cell engineering. Lab on a Chip. 2024;24(8):2156-2168.
11. Kato T, et al. Efficient antibody conjugation using Traut's reagent for LNP functionalization. Bioconjugate Chemistry. 2023;34(7):1256-1265.
12. Li M, et al. Covalent conjugation of antibodies to LNP surface for targeted delivery. Journal of Controlled Release. 2024;368:456-467.
13. Xu Q, et al. Non-viral delivery systems for in vivo CAR-T cell engineering. Nature Reviews Materials. 2024;9(3):189-205.
